Ocean City, New Jersey logo
  • I Want To
    • Apply For
      • Beach Wedding Permit Application
      • Boardwalk Entertainer Permit
      • Boat Ramp Pass
      • Catamaran Permit
      • Dog Park Pass
      • Employment
      • Overnight Parking Permit
      • Use of City Facility
      • Volunteering on City Board
    • Buy
      • Beach Tags
      • Show Tickets
      • Veteran Banners
    • Contact
      • A City Department
      • City Council
      • Mayor
    • Check
      • Tide and Flood Level Predictions
    • File
      • Open Public Records Act Requests
    • column break
    • Pay For
      • Aquatic & Fitness Center Membership
      • Parking Ticket
      • Taxes
    • Learn About
      • Affordable Housing
      • Capital Projects
      • CDBG Grant Program
      • City Surplus Auctions
      • COVID-19
      • Dedication and Memorial Programs
      • Dog Park
      • Economic Development Recommendations
      • Handicapped Accessibility
      • NJ Plastic Bag Ban
      • OCNJ CARE
      • Offshore Wind Project
      • Parking
      • Schools in Ocean City
      • StormWater Ocean City NJ
      • Trash and Recycling
      • Recycling Do's and Don'ts
      • Upper Township-Ocean City Municipal Alliance
      • Why My Water Bill Is So High
      • Tax Abatements
    • Report
      • Potholes
      • Code Compliance/Property Maintenance
      • Street Light Outage
      • Water Outage, Leak, Emergency
    • Sign Up For
      • Email Notifications and Emergency Alerts
      • Smoke Detector Inspection
    • View
      • Bid Opportunities
      • Elevation Certificates
      • Maps
      • Municipal Code and City Ordinances
      • Zoning Map
  • FAQs
    • Beach
    • Aquatic & Fitness Center
    • City Clerk FAQ
    • Dedication and Memorial Programs
    • Finance
    • Flood Damage
    • Home Elevation
    • Mercantile Licensing
    • Municipal Court
    • Police
    • Purchasing
    • Social Services
    • Trash and Recycle
    • Utilities
    • Planning and Zoning
    • Visitor Frequently Asked Questions
  • Residents
    • Boardwalk Biking Hours
    • Boat Ramp
    • City Budget and Finance Documents
    • Code Compliance/Property Maintenance
    • Community Center
      • Aquatic and Fitness Center
      • Arts Center
      • Historical Museum
      • Library
      • Senior Center
    • Construction Code
    • Emergency Management
    • Help Hotlines
    • Historic District
    • Flooding Information and Resources
      • Tide and Flood Level Predictions
      • Elevation Disc Set
      • Community Rating System (CRS)
      • Elevation Certificates
      • Evacuation Route Map
      • Flood Hazards & Maps
      • Flood Smart
      • Flood Warning System
      • Floodplain Development Permit Requirements
      • Flood Insurance
      • Flood Protection Funding Sources
      • Flood Safety
      • Natural and Beneficial Functions
      • Property Protection Measures
      • Substantial Improvement Requirements
      • What Does El Niño Mean to You and Your Community This Spring?
    • Jitney Service
    • Landscaping and Shade Tree Guide
    • NJ Plastic Bag Ban
    • Parking
    • Planning Office
    • Project Updates
    • Recycling Do's and Don'ts
    • Schools
    • Tax Assessment
    • Tax Collection
    • Trash and Recycle FAQ
    • Unused Medication Drop Box
    • Zoning
    • Affordable Housing
    • Dog Licenses
    • Veteran Banners
  • Visitors
    • About the Island
    • Beach
    • Beach Tag Store
    • Boardwalk Biking Hours
    • Directions to OCNJ
    • Emergency Management
    • Family Beach Trips
    • Frequently Asked Questions
    • Historic District Walking Tour
    • Information Centers
    • Interactive Boardwalk Map
    • Interactive Downtown Map
    • Jitney Service
    • NJ Plastic Bag Ban
    • Order a Visitors Guide
    • Our Family Shore - Choose OCNJ
    • Parking
    • Photo Gallery
    • Places to Eat
    • Plan My OC Beach Wedding
    • Public Restroom Schedule
    • Skateboard Park
    • Summer Programs
    • Things to Do
    • Trash and Recycle FAQ
    • Visitor Services
    • Weddings & Groups
    • Where to Shop
    • Where to Stay
    • Boat Ramp
    • Veteran Banners
  • Business
    • Construction Code
      • Fire Subcode Technical
      • Electrical Subcode Technical
      • Building Subcode Technical
      • Plumbing Subcode Technical
      • Framing Checklist
      • Variation Application
      • Construction Permit App F100-1
      • Construction Permit App F100-2
      • Construction Permit App F100-3
      • Development Fees Ordinance 18-22
      • Development Fees Ordinance 06-34
      • Mechanical Inspection Technical Form
      • COAH Form
      • CAFRA Checklist
      • Application for Certificate
    • Mercantile Licensing
      • Contractor Application
      • Landlord Certificate
      • Mercantile Packet
      • Rental Registration
      • Sidewalk Cafe
    • Planning Office
      • Planning & Zoning Documents, Forms and FAQ
      • Planning FAQ
      • Administrative Site Plan Review Application
      • Combined Board Application (11/2025)
      • Exec. Review App (Zoning Board 11/2015)
      • Zoning Map
    • Purchasing
    • Zoning Office
      • Zoning Forms and Documents
      • Zoning FAQ
      • Amendment to Approve Plans (E-FORM)
      • Application Checklist
      • CAFRA Review Checklist
      • Concrete Permit
      • Dumpster & Equipment Permit (E-FORM)
      • Final Zoning Compliance (E-FORM)
      • Grading Recharge Permit (E-FORM)
      • Receipt for Re-Submittal After Denials
      • Screening of Equipment or Machinery
      • Under Construction Review (E-FORM)
      • Zoning Application Requirements
      • Zoning Fees (2017)
      • Zoning Map
      • Zoning Permit Application
  • Events
    • 2026 Calendar of Events
    • 2026 Calendar of Events (Printable)
    • City Meeting Calendar
    • Music Pier
      • Box Office
      • Ocean City Pops
      • Summer Concert Series
    • Ceremonies
      • Business Persons Plunge and Unlocking of the Ocean
      • Boardwalk Flag-Raising Ceremony
    • Conventions & Expos
      • OC Con - Comic Book & Memorabilia Show
      • Sports Memorabilia Show
    • Pageants
      • Miss Ocean City 2026
      • Junior Miss Ocean City 2026
      • Little Miss Ocean City 2026
    • Parades
      • Baby Parade
      • Doo Dah Parade
    • Video Archive
  • Recreation
      • Pay My Tax Bill 
      • Transportation
      • Be Prepared
      • Maps
    • Aquatic & Fitness Center
      • Aquatic & Fitness Center Home
      • Membership Rates
      • Programs
      • Aquatic & Fitness Center Membership Enrollment
      • Ocean City Storm Swim Team
    • Recreation Programs
      • Recreation Activities
      • Bus Trips
      • Summer Programs
      • Program Registration
      • Walking Club
    • Facilities, Parks & Playgrounds
      • Aquatic & Fitness Center
      • Boat Ramp
      • Community Center
      • U.S. Lifesaving Station 30
      • Dog Park
      • Golf Course
      • Outdoor Fitness Park
      • Pickleball
      • Shuffleboard Courts
      • Sports & Civic Center
      • Skateboard Park
      • Tennis Programs
    • OCNJ Race Events
      • OCNJ First Day 5K
      • Winter Warrior Challenge
      • OC CON Super Hero Run and Obstacle Dash
      • Triathlon/Duathlon
      • Emergency Responder 5K
      • Masters Swim
      • Labor Day Race
      • Half Marathon & 5K
      • Trail of Two Cities 5k Run / Walk
      • Other Fun Runs
  • Departments
    • Administration
      • Business Administrator
      • Construction Code
      • Emergency Management
      • Human Resources
      • Mayor
      • Municipal Code (Property Maintenance, Mercantile, Fire)
      • Planning Office
      • Purchasing
      • Zoning Office
    • Capital Projects and Engineering
      • Engineering
      • Project Updates
    • City Clerk
      • City Clerk's Office and Services
      • Citizen Leadership Form
      • City Clerk FAQ
    • Community Services
      • Aquatic & Fitness Center
      • Music Pier Operations
      • Neighborhood & Social Services
      • Public Relations & Information
      • Recreation & Leisure Programs
    • Government
      • Boards and Commissions
      • City Calendar
      • City Council
      • Council Meetings
      • Meeting Archive
    • Financial Management
      • Accounting
      • Beach Fees
      • CDBG Public Notice
      • Parking
      • Tax Assessment
      • Tax Collection
      • Municipal Airport
    • Fire and Rescue Services
      • Fire and Rescue
      • Ocean City Beach Patrol
    • Law
      • Department of Law
      • Municipal Code and City Ordinances
      • Municipal Court
    • Police Services
      • Annual Internal Affairs Summary Report
      • Early Warning System Policies & Procedures
      • Employment (SLEO)
      • Firearms
      • Internal Affairs Complaint Form and Instructions
      • Law Enforcement Drug Testing Policies
      • Meet the Chief & History
      • OCPD Body Camera Information
      • Police FAQs
      • Police Contact Us
      • Public Records Requests
      • Information Technology
    • Public Works
      • Report a Pothole
      • Trash and Recycle FAQ
  • I Want To
    • Apply For
      • Beach Wedding Permit Application
      • Boardwalk Entertainer Permit
      • Boat Ramp Pass
      • Catamaran Permit
      • Dog Park Pass
      • Employment
      • Overnight Parking Permit
      • Use of City Facility
      • Volunteering on City Board
    • Buy
      • Beach Tags
      • Show Tickets
      • Veteran Banners
    • Contact
      • A City Department
      • City Council
      • Mayor
    • Check
      • Tide and Flood Level Predictions
    • File
      • Open Public Records Act Requests
    • column break
    • Pay For
      • Aquatic & Fitness Center Membership
      • Parking Ticket
      • Taxes
    • Learn About
      • Affordable Housing
      • Capital Projects
      • CDBG Grant Program
      • City Surplus Auctions
      • COVID-19
      • Dedication and Memorial Programs
      • Dog Park
      • Economic Development Recommendations
      • Handicapped Accessibility
      • NJ Plastic Bag Ban
      • OCNJ CARE
      • Offshore Wind Project
      • Parking
      • Schools in Ocean City
      • StormWater Ocean City NJ
      • Trash and Recycling
      • Recycling Do's and Don'ts
      • Upper Township-Ocean City Municipal Alliance
      • Why My Water Bill Is So High
      • Tax Abatements
    • Report
      • Potholes
      • Code Compliance/Property Maintenance
      • Street Light Outage
      • Water Outage, Leak, Emergency
    • Sign Up For
      • Email Notifications and Emergency Alerts
      • Smoke Detector Inspection
    • View
      • Bid Opportunities
      • Elevation Certificates
      • Maps
      • Municipal Code and City Ordinances
      • Zoning Map
  • FAQs
    • Beach
    • Aquatic & Fitness Center
    • City Clerk FAQ
    • Dedication and Memorial Programs
    • Finance
    • Flood Damage
    • Home Elevation
    • Mercantile Licensing
    • Municipal Court
    • Police
    • Purchasing
    • Social Services
    • Trash and Recycle
    • Utilities
    • Planning and Zoning
    • Visitor Frequently Asked Questions
  • Residents
    • Boardwalk Biking Hours
    • Boat Ramp
    • City Budget and Finance Documents
    • Code Compliance/Property Maintenance
    • Community Center
      • Aquatic and Fitness Center
      • Arts Center
      • Historical Museum
      • Library
      • Senior Center
    • Construction Code
    • Emergency Management
    • Help Hotlines
    • Historic District
    • Flooding Information and Resources
      • Tide and Flood Level Predictions
      • Elevation Disc Set
      • Community Rating System (CRS)
      • Elevation Certificates
      • Evacuation Route Map
      • Flood Hazards & Maps
      • Flood Smart
      • Flood Warning System
      • Floodplain Development Permit Requirements
      • Flood Insurance
      • Flood Protection Funding Sources
      • Flood Safety
      • Natural and Beneficial Functions
      • Property Protection Measures
      • Substantial Improvement Requirements
      • What Does El Niño Mean to You and Your Community This Spring?
    • Jitney Service
    • Landscaping and Shade Tree Guide
    • NJ Plastic Bag Ban
    • Parking
    • Planning Office
    • Project Updates
    • Recycling Do's and Don'ts
    • Schools
    • Tax Assessment
    • Tax Collection
    • Trash and Recycle FAQ
    • Unused Medication Drop Box
    • Zoning
    • Affordable Housing
    • Dog Licenses
    • Veteran Banners
  • Visitors
    • About the Island
    • Beach
    • Beach Tag Store
    • Boardwalk Biking Hours
    • Directions to OCNJ
    • Emergency Management
    • Family Beach Trips
    • Frequently Asked Questions
    • Historic District Walking Tour
    • Information Centers
    • Interactive Boardwalk Map
    • Interactive Downtown Map
    • Jitney Service
    • NJ Plastic Bag Ban
    • Order a Visitors Guide
    • Our Family Shore - Choose OCNJ
    • Parking
    • Photo Gallery
    • Places to Eat
    • Plan My OC Beach Wedding
    • Public Restroom Schedule
    • Skateboard Park
    • Summer Programs
    • Things to Do
    • Trash and Recycle FAQ
    • Visitor Services
    • Weddings & Groups
    • Where to Shop
    • Where to Stay
    • Boat Ramp
    • Veteran Banners
  • Business
    • Construction Code
      • Fire Subcode Technical
      • Electrical Subcode Technical
      • Building Subcode Technical
      • Plumbing Subcode Technical
      • Framing Checklist
      • Variation Application
      • Construction Permit App F100-1
      • Construction Permit App F100-2
      • Construction Permit App F100-3
      • Development Fees Ordinance 18-22
      • Development Fees Ordinance 06-34
      • Mechanical Inspection Technical Form
      • COAH Form
      • CAFRA Checklist
      • Application for Certificate
    • Mercantile Licensing
      • Contractor Application
      • Landlord Certificate
      • Mercantile Packet
      • Rental Registration
      • Sidewalk Cafe
    • Planning Office
      • Planning & Zoning Documents, Forms and FAQ
      • Planning FAQ
      • Administrative Site Plan Review Application
      • Combined Board Application (11/2025)
      • Exec. Review App (Zoning Board 11/2015)
      • Zoning Map
    • Purchasing
    • Zoning Office
      • Zoning Forms and Documents
      • Zoning FAQ
      • Amendment to Approve Plans (E-FORM)
      • Application Checklist
      • CAFRA Review Checklist
      • Concrete Permit
      • Dumpster & Equipment Permit (E-FORM)
      • Final Zoning Compliance (E-FORM)
      • Grading Recharge Permit (E-FORM)
      • Receipt for Re-Submittal After Denials
      • Screening of Equipment or Machinery
      • Under Construction Review (E-FORM)
      • Zoning Application Requirements
      • Zoning Fees (2017)
      • Zoning Map
      • Zoning Permit Application
  • Events
    • 2026 Calendar of Events
    • 2026 Calendar of Events (Printable)
    • City Meeting Calendar
    • Music Pier
      • Box Office
      • Ocean City Pops
      • Summer Concert Series
    • Ceremonies
      • Business Persons Plunge and Unlocking of the Ocean
      • Boardwalk Flag-Raising Ceremony
    • Conventions & Expos
      • OC Con - Comic Book & Memorabilia Show
      • Sports Memorabilia Show
    • Pageants
      • Miss Ocean City 2026
      • Junior Miss Ocean City 2026
      • Little Miss Ocean City 2026
    • Parades
      • Baby Parade
      • Doo Dah Parade
    • Video Archive
  • Recreation
      • Pay My Tax Bill 
      • Transportation
      • Be Prepared
      • Maps
    • Aquatic & Fitness Center
      • Aquatic & Fitness Center Home
      • Membership Rates
      • Programs
      • Aquatic & Fitness Center Membership Enrollment
      • Ocean City Storm Swim Team
    • Recreation Programs
      • Recreation Activities
      • Bus Trips
      • Summer Programs
      • Program Registration
      • Walking Club
    • Facilities, Parks & Playgrounds
      • Aquatic & Fitness Center
      • Boat Ramp
      • Community Center
      • U.S. Lifesaving Station 30
      • Dog Park
      • Golf Course
      • Outdoor Fitness Park
      • Pickleball
      • Shuffleboard Courts
      • Sports & Civic Center
      • Skateboard Park
      • Tennis Programs
    • OCNJ Race Events
      • OCNJ First Day 5K
      • Winter Warrior Challenge
      • OC CON Super Hero Run and Obstacle Dash
      • Triathlon/Duathlon
      • Emergency Responder 5K
      • Masters Swim
      • Labor Day Race
      • Half Marathon & 5K
      • Trail of Two Cities 5k Run / Walk
      • Other Fun Runs
  • Departments
    • Administration
      • Business Administrator
      • Construction Code
      • Emergency Management
      • Human Resources
      • Mayor
      • Municipal Code (Property Maintenance, Mercantile, Fire)
      • Planning Office
      • Purchasing
      • Zoning Office
    • Capital Projects and Engineering
      • Engineering
      • Project Updates
    • City Clerk
      • City Clerk's Office and Services
      • Citizen Leadership Form
      • City Clerk FAQ
    • Community Services
      • Aquatic & Fitness Center
      • Music Pier Operations
      • Neighborhood & Social Services
      • Public Relations & Information
      • Recreation & Leisure Programs
    • Government
      • Boards and Commissions
      • City Calendar
      • City Council
      • Council Meetings
      • Meeting Archive
    • Financial Management
      • Accounting
      • Beach Fees
      • CDBG Public Notice
      • Parking
      • Tax Assessment
      • Tax Collection
      • Municipal Airport
    • Fire and Rescue Services
      • Fire and Rescue
      • Ocean City Beach Patrol
    • Law
      • Department of Law
      • Municipal Code and City Ordinances
      • Municipal Court
    • Police Services
      • Annual Internal Affairs Summary Report
      • Early Warning System Policies & Procedures
      • Employment (SLEO)
      • Firearms
      • Internal Affairs Complaint Form and Instructions
      • Law Enforcement Drug Testing Policies
      • Meet the Chief & History
      • OCPD Body Camera Information
      • Police FAQs
      • Police Contact Us
      • Public Records Requests
      • Information Technology
    • Public Works
      • Report a Pothole
      • Trash and Recycle FAQ
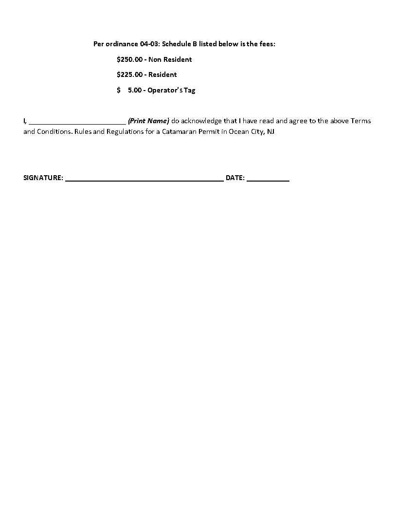
I Want To   /   Apply For   /   Catamaran Permit
Catamaran

Click here to download information and an application for a permit to store a catamaran on the beach.




Address

  • The City of Ocean City, New Jersey
    861 Asbury Avenue
    Ocean City, New Jersey 08226
    (609) 399-6111

Helpful Links

Site By EvoGov